Bioimpacts. 12(2):107-113.
doi: 10.34172/bi.2021.22143
Original Research
Molecular docking, molecular dynamics simulation, and ADMET analysis of levamisole derivatives against the SARS-CoV-2 main protease (MPro)
Khalil EL Khatabi 1
, Ilham Aanouz 1, Marwa Alaqarbeh 2, Mohammed Aziz Ajana 1, Tahar Lakhlifi 1, Mohammed Bouachrine 1, 3, * 
Author information:
1Molecular Chemistry and Natural Substances Laboratory, Faculty of Science, Moulay Ismail University of Meknes, Morocco
2National Agricultural Research Center, Al‑Baqa 19381, Jordan
3EST Khenifra, Sultan MoulaySliman University, Benimellal, Morocco
Abstract
Introduction:
The new species of coronaviruses (CoVs), SARS-CoV-2, was reported as responsible for an outbreak of respiratory disease. Scientists and researchers are endeavoring to develop new approaches for the effective treatment against of the COVID-19 disease. There are no finally targeted antiviral agents able to inhibit the SARS-CoV-2 at present. Therefore, it is of interest to investigate the potential uses of levamisole derivatives, which are reported to be antiviral agents targeting the influenza virus.
Methods:
In the present study, 12 selected levamisole derivatives containing imidazo[2,1-b]thiazole were subjected to molecular docking in order to explore the binding mechanisms between these derivatives and the SARS-CoV-2 Mpro (PDB: 7BQY). The levamisole derivatives were evaluated for in silico ADMET properties for wet-lab applicability. Further, the stability of the best-docked complex was checked using molecular dynamics (MD) simulation at 20 ns.
Results:
Levamisole derivatives and especially molecule N°6 showed more promising docking results, presenting favorable binding interactions as well as better docking energy compared to chloroquine and mefloquine. The results of ADMET prediction and MD simulation support the potential of the molecule N°6 to be further developed as a novel inhibitor able to stop the newly emerged SARS-CoV-2.
Conclusion:
This research provided an effective first line in the rapid discovery of drug leads against the novel CoV (SARS-CoV-2).
Keywords: COVID-19, SARS-CoV-2, Levamisole, Molecular docking, Molecular dynamics simulation, In silico ADMET
Copyright and License Information
© 2022 The Author(s)
This work is published by BioImpacts as an open access article distributed under the terms of the Creative Commons Attribution License (
http://creativecommons.org/licenses/by-nc/4.0/). Non-commercial uses of the work are permitted, provided the original work is properly cited.
Introduction
In late December 2019, the entire world has witnessed an unexpected outbreak of novel coronavirus disease-19 (COVID-19). The virus started in Wuhan city, China has rapidly turned out to be a global pandemic and got spread worldwide very fast.
1
The virus is recognized to be a considerable threat to the global health systems. As of the 13th of July 2020, the novel coronavirus has infected about 4.5 million patients all over the world with a mortality rate reaching approximatively 6.7%.
2
SARS-CoV-2 is one of the three single strand-RNA beta-coronaviruses in addition to the Middle East respiratory syndrome (MERS) virus and severe acute respiratory syndrome (SARS) virus identified as highly developing viruses.
3
Coronaviruses (CoVs) are an etiological factor of severe infections belonging to a large family of viruses causing disorders in the respiratory tract infections in both humans and other mammals.
4
In addition to the respiratory tract, the virus can also cause disorders in the digestive tract. The virus is transmitted primarily from an infected human to another through saliva, viral droplets after sneezing and coughing, or touching an infected surface. Severe pneumonia, fever, sore throat, sneezing, cough, loss of taste and smell are the symptoms of coronavirus infection.
5-8
As the most effective way to strengthen the immune defense against the SARS-CoV-2, prophylactic vaccines should have essential roles.
9
Live attenuated or killed whole virus vaccines, recombinant protein vaccine, Ii-Key peptide COVID-19 as subunit protein vaccine, multi-epitope vaccine, DNA- and mRNA-based vaccines, convalescent sera or plasma therapy, and S-trimer are examples of vaccine candidates to be considered for more rapid development of prophylactics and reinforce immunity system against SARS-CoV-2 virus with minimum side-effects.
10-13
At this time, no specific drugs or treatments are available for this virus reported. Repurposing medication seems to be the only way to develop potent drugs to control the pandemic and stop viral infection. Levamisole is a drug having important immunomodulatory properties and was reported in the literature to be one of the most potent drug families in the fight against influenza virus antiviral agents is considered to be an attractive target for an antiviral drug.
14
Gürsoy et al evaluated the levamisole derivatives against DNA and RNA viruses, using diverse cell-based assays infected with influenza B virus or influenza, A/H3N2 and A/H1N1.
15
Therefore, this work evaluates the levamisole derivatives as a potential inhibitor of the SARS-CoV-2 MPro through computational studies such as molecular docking and ADMET prediction. The molecular docking results of the studies compounds were compared to the docked molecules chloroquine and mefloquine which have been originally developed for viral inhibition. Chloroquine is at present experiencing for the treatment of SARS-CoV-2.
16
It is an amino quinolone derivative indicated to treat malaria as well as rheumatoid arthritis, HIV, and prophylaxis of Zika virus,
17
while mefloquine is an antimalarial drug acting as a blood schizonticides that has the potential to be applied to inhibit the erythrocytic forms of plasmodium species and some sorts of influenza viruses.
18
The docking of the levamisole, chloroquine, and mefloquine was performed using the same protease (PDB: 7BQY) to provide molecular insights into the stability of the complexes.
Consequently, one levamisole derivative with higher affinity was prioritized and proceeded to a detailed analysis through molecular docking, then compared to the docked molecules Chloroquine and Mefloquine. MD simulations were applied through RMSD, RMSF, and Rg properties to identify the stabilization of the protein-ligand complexes. The prioritized molecule showed more promising results as a potential inhibitor which provided a suitable basis for in vivo and in vitro anti-viral studies for further drug discovery research against SARS-CoV-2 disease.
Materials and Methods
Data collection
Ligands
A series of 12 selected Levamisole derivatives previously assessed for their antiviral activities were collected from literature,
15
and were subjected to molecular docking study. The chemical structure of the levamisole is shown in Fig. 1. The selected levamisoles containing imidazo[2,1-b]thiazole moiety were prepared by Gürsoy et al
15
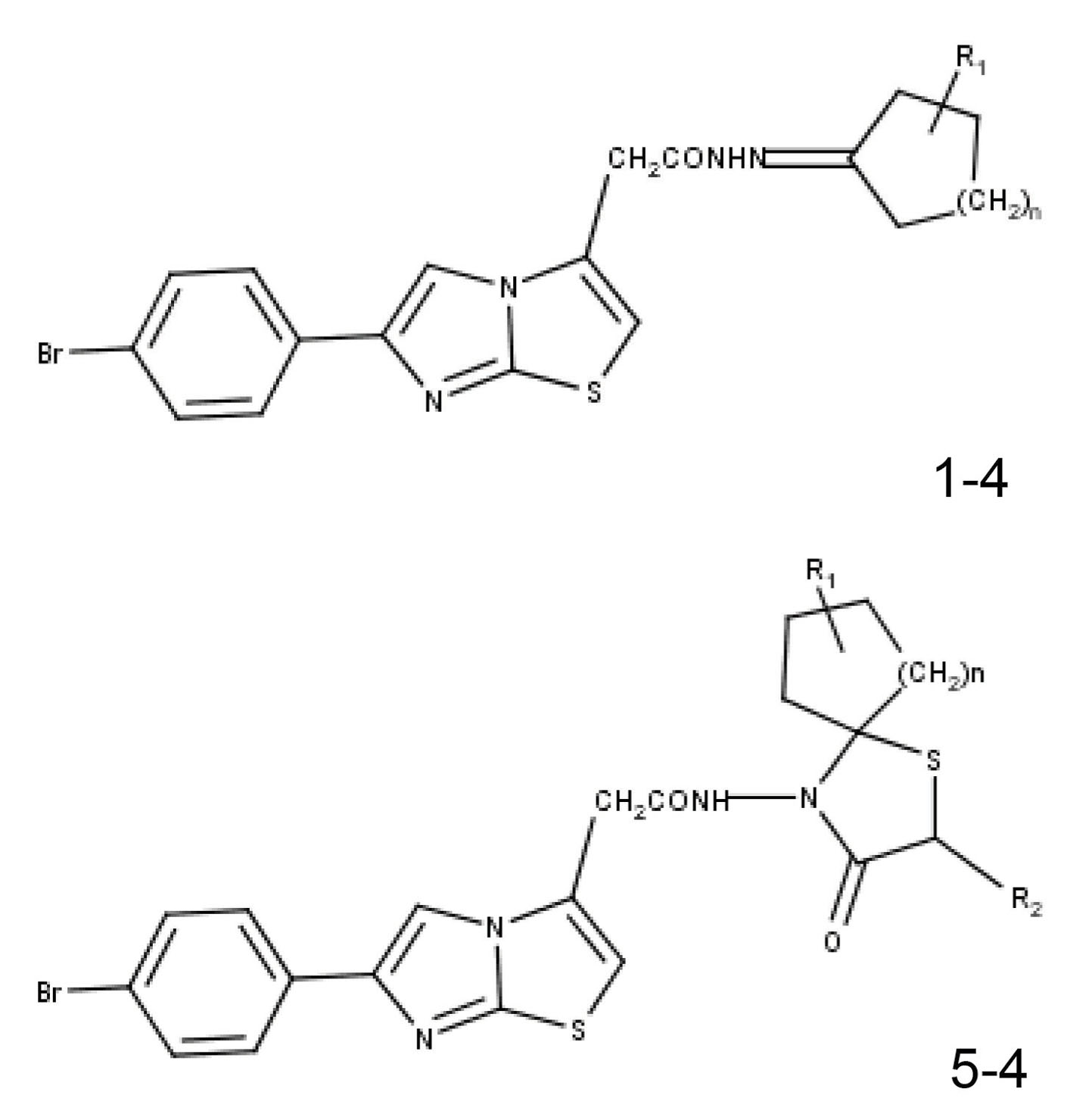
and evaluated against diverse DNA and RNA viruses, using different cell-based assays cells infected with influenza B virus or influenza A/H3N2 and A/H1N1. The general chemical structures reported as antiviral agents are depicted in Fig. 2, while chemical groups representing n, R1, and R2 for 12 Levamisole derivatives are available in Table 1.
Figure 1.
Chemical structure of the levamisole.
Figure 1.
Chemical structure of the levamisole.
Figure 2.
General chemical structure for the levamisole derivatives with varying R1 and R2 groups.
Figure 2.
General chemical structure for the levamisole derivatives with varying R1 and R2 groups.
Table 1.
Chemical groups representing n, R1, and R2 for 12 Levamisole derivatives were reported as potent antiviral agents
|
Molecule
|
Number of sample (n)
|
R
1
|
R
2
|
| 1 |
1 |
- |
- |
| 2 |
2 |
H |
- |
| 3 |
2 |
C6H5
|
- |
| 4 |
2 |
C6H4OH(4-)
|
- |
| 5 |
2 |
- |
- |
| 6 |
2 |
H |
- |
| 7 |
2 |
C6H5
|
- |
| 8 |
2 |
C6H4OH(4-)
|
CH3
|
| 9 |
1 |
- |
CH3
|
| 10 |
2 |
H |
CH3
|
| 11 |
2 |
C6H5
|
CH3
|
| 12 |
2 |
C6H4OH(4-)
|
CH3
|
Energy minimization
The 3D structures of ligands were built using SYBYL-X 2.0 (Tripos Inc., St. Louis, USA). They were energetically minimized using Tripos force field,
19
Gasteiger-Huckel charges, and Powell method.
20
Receptor
The crystal structure of SARS-CoV-2 MPro (PDB: 7BQY, resolution: 1.7Å),
20
which reacts in such a way to affect the host cells like the parabronchial epithelial and pulmonary cell, was obtained from the protein databank.
The 7BQY protein is classified as a viral protein and involved two chains, A and B, which subordinate to form a homodimer by a crystallographic 2-fold symmetry axis. Chain A was employed for macromolecule preparation of a sequence of 306. The original ligand for 7BQY is (E,4S)-4-azanyl-5-[(3S)-2-oxidanylidenepyrrolidin-3-yl]pent-2-enoic acid.
Molecular docking studies
Molecular docking is powerful in silico approach, performed using Surflex-Dock module in SYBYL-X v2.0,
21
to investigate the binding interaction of compounds and forecast the optimized conformation of a ligand and protein target. The preparation of the protein structure was done by removing water molecules and other atoms and adding polar hydrogen atoms. The 12 molecules were docked in the active site of the protein, and the ligand-receptor interactions were studied.
22,23
The Total-score of Surflex-Dock was used to represent binding affinities, which was selected as the docking result. The total Surflex-Dock score was expressed in -log10 (Kd) units.
ADMET prediction
The pharmacokinetics ADMET (absorption, distribution, metabolism, excretion, and toxicity) properties of the 12 selected levamisole derivatives were predicted using pKCSM and admetSAR predictor.
24,25
MD simulations
To further confirm the reliability of molecular docking and reveal the binding mode and conformational changes during the interaction between the ligand (compound 6) and receptor protein, molecular dynamics simulations of the complex was carried out using GROMACS 5.1.4 software.
26,27
Protonation and minimization steps were applied for the system using GROMOS96 43A1 force field to avoid space crashes. The molecular topology files parameters for the ligand were generated using PRODRG server.
28
The docked complex was solvated and immersed in water cubic boxes with 12 Å as a margin distance. Four ions of Na+ were added to neutralize the systems. The energy minimization was carried on the system through 5000 steps of the steepest descent minimization to eliminate the weak van der Waals contacts. The system was further equilibrated to carry out 20 ns MD simulations while the pressure and temperature were set at 1atm and 300 K, respectively. All covalent bonds including heavy atom-H were constrained by the LINCS algorithm. MD simulation was run for 20 000 ps for the docked complex, writing coordinates every two ps interval. Finally, the resulting trajectories of simulated systems were saved for detailed analysis. The root-mean-square deviation (RMSD), root-mean-square fluctuation (RMSF), and radius of gyration (Rg) were analyzed throughout the trajectory using the gmxrms, RMSF, and gyrate, respectively, the built-in function of the GROMACS software. The graphs plotting was made by the QtGrace.22 program.
Results
A molecular docking study was performed to explore the binding affinity, the binding types, and the active amino acid residues of studied molecules in the target enzyme. The twenty-two selected molecules, chloroquine and Mefloquine were docked into the binding site of SARS-CoV-2 main protease and evaluated for their affinity. The binding affinity values of the 12 selected compounds are reported in Table 2.
Table 2.
The binding affinity values of the12 selected levamisole derivatives
|
N°
|
Binding affinity (kcal/mol)
|
| 1 |
-2.73 |
| 2 |
-2.28 |
| 3 |
-2.79 |
| 4 |
-1.41 |
| 5 |
-2.46 |
| 6 |
-3.20 |
| 7 |
-1.69 |
| 8 |
-2.44 |
| 9 |
-2.30 |
| 10 |
-2.45 |
| 11 |
-2.54 |
| 12 |
-2.70 |
| Chloroquine |
-3.07 |
| Mefloquine |
-2.88 |
The best (or lowest) energy level of molecules originating from the contribution of various interactions with the SARS-CoV-2 MPro (PDB: 7BQY) is observed for molecule N°6 (Table 2). This molecule could have more inhibitory potential of the studied enzyme than the complexes formed with the reference molecules Chloroquine and Mefloquine. The results of the re-docked Chloroquine and Mefloquine molecules and their position in the SARS-CoV-2 MPro are shown in Figs. 3 and 4, respectively. Consequently, the chosen molecule was prioritized and proceeded to a detailed analysis as shown in Fig. 5.
Figure 3.
Interactions between Chloroquine and SARS-CoV-2 MPro.
Figure 3.
Interactions between Chloroquine and SARS-CoV-2 MPro.
Figure 4.
Interactions between Mefloquine and SARS-CoV-2 MPro.
Figure 4.
Interactions between Mefloquine and SARS-CoV-2 MPro.
Figure 5.
Interactions between molecule N°6 and SARS-CoV-2 MPro.
Figure 5.
Interactions between molecule N°6 and SARS-CoV-2 MPro.
ADME and toxicity prediction
It is necessary to carry out the applicability of the 12 selected compounds especially molecule N°6 as antiviral agents using virtual properties before the experiment. The ADMET properties were predicted, the results are presented in Table 3.
Table 3.
The ADMET properties of the 12 selected Levamisole derivatives
|
|
Absorption
|
Distribution
|
Metabolism CYP
|
Excretion
|
Toxicity
|
|
Human intestinal absorption (% absorbed)
|
VDss (human)
(logL/Kg)
|
2D6
|
3A4
|
1A2
|
2C19
|
2C9
|
2D6
|
3A4
|
Total Clearance
(log mL/min/kg)
|
AMES
|
Carcinogens
|
|
Substrate
|
Inhibitor
|
| 1 |
83.826 |
-0.481 |
No |
Yes |
Yes |
Yes |
Yes |
No |
Yes |
0.931 |
No |
No |
| 2 |
83.438 |
-0.484 |
No |
Yes |
Yes |
Yes |
Yes |
No |
Yes |
0.885 |
No |
No |
| 3 |
83.428 |
-0.328 |
No |
Yes |
No |
Yes |
Yes |
No |
Yes |
0.776 |
No |
No |
| 4 |
86.061 |
0.240 |
No |
Yes |
No |
Yes |
Yes |
No |
Yes |
0.766 |
No |
No |
| 5 |
84.43 |
-0.526 |
No |
Yes |
Yes |
No |
Yes |
No |
Yes |
0.913 |
No |
No |
|
6
|
84.042
|
-0.528
|
No
|
Yes
|
No
|
No
|
Yes
|
No
|
Yes
|
0.864
|
No
|
No
|
| 7 |
84.114 |
-0.365 |
No |
Yes |
No |
Yes |
Yes |
No |
Yes |
0.820 |
No |
No |
| 8 |
86.767 |
0.229 |
No |
Yes |
No |
Yes |
Yes |
No |
Yes |
0.805 |
No |
No |
| 9 |
92.273 |
0.392 |
No |
Yes |
Yes |
Yes |
Yes |
No |
No |
0.711 |
No |
No |
| 10 |
91.884 |
0.405 |
No |
Yes |
Yes |
Yes |
Yes |
No |
Yes |
0.698 |
No |
No |
| 11 |
91.905 |
0.314 |
No |
Yes |
No |
Yes |
Yes |
No |
Yes |
0.689 |
No |
No |
| 12 |
89.56 |
0.276 |
No |
Yes |
No |
Yes |
Yes |
No |
Yes |
0.653 |
No |
No |
VDss: volume of distribution at steady state. CYP: cytochrome P450. AMES: bacterial reverse mutation.
MD simulation
To assure the structural stability of the protein-ligand complex in the binding site of SARS-CoV-2 MPro and analyze the conformational changes of the system, the selected molecule N°6 was prioritized and subjected to 20 000 ps MD simulations. As result, several important dynamics properties of the simulated complex were generated.
The root-mean-square deviation (RMSD), the root-mean-square fluctuation (RMSF), and the radius of gyration (Rg) were evaluated to gain an insight into the overall stability of the complex during the simulation as shown in Figs. 6A, 6B, and 6C, respectively.
Figure 6.
Molecular dynamics simulation. (A) RMSD of the simulated system versus time. (B) RMSF of amino acid residues of the simulated system. (C) Radius gyrate of the simulated system versus time.
Figure 6.
Molecular dynamics simulation. (A) RMSD of the simulated system versus time. (B) RMSF of amino acid residues of the simulated system. (C) Radius gyrate of the simulated system versus time.
Discussion
Based on the further analysis of the docking results, hydrogen bonds and some non-classical hydrogen bonds could be also observed for the Chloroquine binding process. The hydrogen bond was generated with residue Cys145 at a distance of 2.67 Å, while the aliphatic chain was in carbon-hydrogen bond contact with His163, Glu166, Phe140, and Asn142.
Mefloquine is involved in hydrogen bond interactions with Cys145 and Asn142. The piperidine ring of Mefloquine forms non-classical hydrogen bonds with His163 and Leu141, while halogen interaction is created only with Gln189 because of the fluorine atom (F). The unfavorable donor-donor interaction is observed with Gly143 amino acid. Fig. 5 shows the interaction pose of the active molecule (with low energy), which is mentioned as molecule N°6 in the present study. Docking study of molecule N°6 in SARS-CoV-2 MPro shows more number and type of favorable interactions in comparison with Chloroquine and Mefloquine of the studied enzyme (H-Bond, Van der Waals, p-Donor Hydrogen Bon, alkyl, and p-alkyl interaction). The presence of hydrogen bonding and hydrophobic interactions could impact the structure and the function of the protease and play a key role in stabilizing the complex conformation.
The molecule N°6 was able to be docked deeply within the binding site of the SARS-CoV-2 MPro, displaying as results a favorable binding interaction as well as better docking energy compared to Chloroquine and Mefloquine. The results of the molecular docking study support the potential of the molecule N°6 to be further developed as a novel inhibitor of Coronavirus (SARS-CoV-2).
The tested molecules showed a high percentage of human intestinal absorption ranged from 83.826% to 92.273%, which were labeled to be fully absorbed by the human enteric. Molecules with logVDss< -0.15 are considered to be poorly distributed in tissues rather than in plasma. The logVDss results in Table 3 show most of the tested molecules were distributed in the plasma. For metabolism, all molecules were predicted as substrates for the CYP450 3A4 subtype, which indicated may be well metabolized by CYP 3A4. Moreover, all tested molecules could inhibit the 2C9subtype, whereas they could not inhibit the 2D6 subtype. Nevertheless, some of the cytochrome P450 subtypes might be inhibited by one or more of the tested molecules. Based on the high values of total clearance, all tested compounds could be filtered by renal and hepatic tissues in a combinational way. The predicted toxicity indicated all tested molecules were non-mutagenic and non-carcinogen, indicating the safety of the molecules which is important to develop an active drug.
The tested molecules demonstrated promising results of computational pharmacokinetics and toxicity evaluations, which could serve as promising inhibitors targeting SARS-CoV-2 for further development. The molecule N°6which exhibited the good potential to be a CoV inhibitor compared to Chloroquine and Mefloquine showed a reasonably good ADMET profile.
Fig. 6A displays the RMSD for heavy atoms of the protein during 20 000 ps, while Fig. 6B shows the RMSF during 20 000 ps. In the RMSD graph, the studied ligand showed fluctuation during the initial simulations till about 10 000 ps. A negligible deviation was detected between 10 000 ps and 15 000 ps, while stable dynamics were observed thereafter throughout the simulation. It can be clearly seen that the ligand reached equilibrium at a lower RMSD value of 0.27 nm, indicating the good stability of the system.
As depicted in Fig. 6B, the RMSF was also estimated to assess the flexibility of the protein residues. The results exhibited rigid flexibility of residue fluctuation profile of the protein with an average RMSF of 0.2 nm. This indicated that the binding of ligand to protein showed well stable interaction and did not result in a large movement in protein conformation. Rg plot was measured (Fig. 6C). The Rg imparts the compactness of a structure throughout the simulation. The Rg-time fluctuations were observed almost constants within the acceptable range, mostly maintained between 2.1 and 2.18 nm, indicating steady conformation changes of the protein. The obtained results revealed that the complex could keep stable throughout the simulation and interact well with the SARS-CoV-2 main protease (MPro).
To summarize the above results, levamisole derivatives and especially molecule N°6 showed more promising results as a potential inhibitor able to stop the newly emerged SARS-CoV-2 disease. Overall, this work might provide valuable insights that have the potential to be applied in designing novel SARS-CoV-2 inhibitors for further drug discovery research.
Conclusion
Molecular docking was carried out for 12 levamisole derivatives with the SARS-CoV-2 MPro (PDB: 7BQY). The studied compounds were evaluated for in silico ADMET prediction and the results showed a reasonably good ADMET profile. Molecular docking results indicate that the hydrogen bonds, van der Waals and hydrophobic interactions were proved to be of great importance in ligand-receptor binding. The docked position of the molecule N°6 showed strong interactions, which was well stable during the 20 ns MD simulation, indicating that molecule N°6 represents a good potential to be coronavirus inhibitor with high binding affinity, which could be a promising candidate for further drug discovery research against SARS-CoV-2 disease.
Acknowledgments
We are grateful to the “Association Marocaine des Chimistes Théoriciens” (AMCT) for its pertinent help concerning the programs.
Funding sources
There is none to be clarified.
Ethical statement
None to be declared.
Competing interests
The authors declare that they have no conflict of interest.
Authors’ contribution
KE: draft preparation, data handling, data analysis, writing, and reviewing. IA: conceptualization, data analysis, reviewing. MA: data handling and reviewing. MAA: data analysis, study justification, and supervision. TL: supervision and project administration. MB: writing and reviewing study justification, and supervision.
Research Highlights
What is the current knowledge?
√ We expect that our approach; the structure-based molecular docking and MD simulations, may provide new promising avenues for optimizing and developing more potent COVID-19 inhibitors.
√ Levamisole derivatives with strong binding were prioritized and proceeded to a detailed analysis through molecular docking and MD simulations.
What is new here?
√ Levamisole derivatives, especially molecule N°6 showed more promising docking results compared to Chloroquine and Mefloquine.
√ Good ADMET prediction results for levamisole derivatives were acquired.
References
- Hasan A, Paray BA, Hussain A, Qadir FA, Attar F, Aziz FM. A review on the cleavage priming of the spike protein on coronavirus by angiotensin-converting enzyme-2 and furin. J Biomol Struct Dyn 2021; 39:3025-33. doi: 10.1080/07391102.2020.1754293 [Crossref] [ Google Scholar]
-
Anonymous. Nouveau coronavirus (2019-nCoV). World Health Organization (WHO); 2020. Available from: https://www.who.int/fr/emergencies/diseases/novel-coronavirus-2019.
- Amanat F, Krammer F. SARS-CoV-2 Vaccines: Status Report. Immunity 2020; 52:583-9. doi: 10.1016/j.immuni.2020.03.007 [Crossref] [ Google Scholar]
- Bedford J, Enria D, Giesecke J, Heymann DL, Ihekweazu C, Kobinger G. COVID-19: towards controlling of a pandemic. Lancet 2020; 395:1015-8. doi: 10.1016/S0140-6736(20)30673-5 [Crossref] [ Google Scholar]
- Chan JF, Yuan S, Kok KH, To KK, Chu H, Yang J. A familial cluster of pneumonia associated with the 2019 novel coronavirus indicating person-to-person transmission: a study of a family cluster. Lancet 2020; 395:514-23. doi: 10.1016/S0140-6736(20)30154-9 [Crossref] [ Google Scholar]
- Guan WJ, Ni ZY, Hu Y, Liang WH, Ou CQ, He JX. Clinical Characteristics of Coronavirus Disease 2019 in China. N Engl J Med 2020; 382:1708-20. doi: 10.1056/NEJMoa2002032 [Crossref] [ Google Scholar]
- Heymann DL. Data sharing and outbreaks: best practice exemplified. Lancet 2020; 395:469-70. doi: 10.1016/S0140-6736(20)30184-7 [Crossref] [ Google Scholar]
- Huang C, Wang Y, Li X, Ren L, Zhao J, Hu Y. Clinical features of patients infected with 2019 novel coronavirus in Wuhan, China. Lancet 2020; 395:497-506. doi: 10.1016/S0140-6736(20)30183-5 [Crossref] [ Google Scholar]
- Kandimalla R, John A, Abburi C, Vallamkondu J, Reddy PH. Current status of multiple drug molecules, and vaccines: an update in SARS-CoV-2 therapeutics. Mol Neurobiol 2020; 57:4106-16. doi: 10.1007/s12035-020-02022-0 [Crossref] [ Google Scholar]
- Iqbal Yatoo M, Hamid Z, Parray OR, Wani AH, Ul Haq A, Saxena A. COVID-19 - Recent advancements in identifying novel vaccine candidates and current status of upcoming SARS-CoV-2 vaccines. Hum Vaccin Immunother 2020; 16:2891-904. doi: 10.1080/21645515.2020.1788310 [Crossref] [ Google Scholar]
- Kar T, Narsaria U, Basak S, Deb D, Castiglione F, Mueller DM. A candidate multi-epitope vaccine against SARS-CoV-2. Sci Rep 2020; 10:10895. doi: 10.1038/s41598-020-67749-1 [Crossref] [ Google Scholar]
- Pourseif MM, Parvizpour S, Jafari B, Dehghani J, Naghili B, Omidi Y. A domain-based vaccine construct against SARS-CoV-2, the causative agent of COVID-19 pandemic: development of self-amplifying mRNA and peptide vaccines. Bioimpacts 2021; 11:65-84. doi: 10.34172/bi.2021.11 [Crossref] [ Google Scholar]
- Salemi A, Pourseif MM, Omidi Y. Next-generation vaccines and the impacts of state-of-the-art in-silico technologies. Biologicals 2021; 69:83-5. doi: 10.1016/j.biologicals.2020.10.002 [Crossref] [ Google Scholar]
- Hadden JW, Lopez C, O'Reilly RJ, Hadden EM. Levamisole and inosiplex: antiviral agents with immunopotentiating action. Ann N Y Acad Sci 1977; 284:139-52. doi: 10.1111/j.1749-6632.1977.tb21945.x [Crossref] [ Google Scholar]
- Gürsoy E, Dincel ED, Naesens L, Ulusoy Guzeldemirci N. Design and synthesis of novel Imidazo[2,1-b]thiazole derivatives as potent antiviral and antimycobacterial agents. Bioorg Chem 2020; 95:103496. doi: 10.1016/j.bioorg.2019.103496 [Crossref] [ Google Scholar]
- Gao J, Tian Z, Yang X. Breakthrough: Chloroquine phosphate has shown apparent efficacy in treatment of COVID-19 associated pneumonia in clinical studies. Biosci Trends 2020; 14:72-3. doi: 10.5582/bst.2020.01047 [Crossref] [ Google Scholar]
- Shiryaev SA, Mesci P, Pinto A, Fernandes I, Sheets N, Shresta S. Repurposing of the anti-malaria drug chloroquine for Zika Virus treatment and prophylaxis. Sci Rep 2017; 7:15771. doi: 10.1038/s41598-017-15467-6 [Crossref] [ Google Scholar]
- Schlagenhauf P, Adamcova M, Regep L, Schaerer MT, Rhein HG. The position of mefloquine as a 21st century malaria chemoprophylaxis. Malar J 2010; 9:357. doi: 10.1186/1475-2875-9-357 [Crossref] [ Google Scholar]
- Clark M CR, Van Opdenbosch N. Validation of the general purpose tripos 52 force field. J Comput Chem 1989; 10:982-1012. doi: 10.1002/jcc.540100804 [Crossref] [ Google Scholar]
- Purcell WP SJ. A brief review and table of semiempirical parameters used in the Hueckel molecular orbital method. J ChemEng Data 1967; 12:235-46. doi: 10.1021/je60033a020 [Crossref] [ Google Scholar]
- Jain AN. Surflex-Dock 21: robust performance from ligand energetic modeling, ring flexibility, and knowledge-based search. J Comput Aided Mol Des 2007; 21:281-306. doi: 10.1007/s10822-007-9114-2 [Crossref] [ Google Scholar]
- Dassault Systèmes BIOVIA, Discovery Studio Modeling Environment, Release 2017. San Diego: Dassault Systèmes; 2016.
- DeLano WL. Pymol: An Open-Source Molecular Graphics Tool. CCP4 Newsletter Pro Crystallogr 2002; 40:82-92. [ Google Scholar]
- Cao D, Wang J, Zhou R, Li Y, Yu H, Hou T. ADMET evaluation in drug discovery 11 PharmacoKinetics Knowledge Base (PKKB): a comprehensive database of pharmacokinetic and toxic properties for drugs. J Chem Inf Model 2012; 52:1132-7. doi: 10.1021/ci300112j [Crossref] [ Google Scholar]
- Pires DE, Blundell TL, Ascher DB. pkCSM: Predicting Small-Molecule Pharmacokinetic and Toxicity Properties Using Graph-Based Signatures. J Med Chem 2015; 58:4066-72. doi: 10.1021/acs.jmedchem.5b00104 [Crossref] [ Google Scholar]
- Pall S, Zhmurov A, Bauer P, Abraham M, Lundborg M, Gray A. Heterogeneous parallelization and acceleration of molecular dynamics simulations in GROMACS. J Chem Phys 2020; 153:134110. doi: 10.1063/5.0018516 [Crossref] [ Google Scholar]
- Van Der Spoel D, Lindahl E, Hess B, Groenhof G, Mark AE, Berendsen HJ. GROMACS: fast, flexible, and free. J Comput Chem 2005; 26:1701-18. doi: 10.1002/jcc.20291 [Crossref] [ Google Scholar]
- Schuttelkopf AW, van Aalten DM. PRODRG: a tool for high-throughput crystallography of protein-ligand complexes. Acta Crystallogr D Biol Crystallogr 2004; 60:1355-63. doi: 10.1107/S0907444904011679 [Crossref] [ Google Scholar]