<script> window.dataLayer = window.dataLayer || []; function gtag(){dataLayer.push(arguments);} gtag('js', new Date()); gtag('config', 'UA-48293608-1'); </script>
Logo-bi
Editorial
Mohammad A. Rafi*
Bioimpacts. 2015;5(1): 1-2. doi: 10.15171/bi.2015.11
PMCID: PMC4401162     PMID: 25901290     Scopus ID: 84924864123    
PDF
XML
Cited By:
Original Research
Hamid Soraya, Maryam Rameshrad, Aram Mokarizadeh, Alireza Garjani*
Bioimpacts. 2015;5(1): 3-8. doi: 10.15171/bi.2015.02
PMCID: PMC4401166     PMID: 25901291     Scopus ID: 84924853787    
Original Research
Elmira Yekani Khoei, Reza Hassannejad*, Behzad Mozaffari Tazehkand
Bioimpacts. 2015;5(1): 9-16. doi: 10.15171/bi.2015.03
PMCID: PMC4401169     PMID: 25901292     Scopus ID: 84924901521    
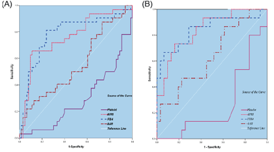
Original Research
Mohammadreza Abdollahi, Aliasghar Pouri*, Morteza Ghojazadeh, Rasoul Estakhri, Mohammadhossein Somi
Bioimpacts. 2015;5(1): 17-23. doi: 10.15171/bi.2015.05
PMCID: PMC4401163     PMID: 25901293     Scopus ID: 84924853426    
Original Research
Yalda RahbarSaadat, Nazli Saeidi, Sepideh Zununi Vahed, Abolfazl Barzegari*, Jaleh Barar ORCID
Bioimpacts. 2015;5(1): 25-28. doi: 10.15171/bi.2015.01
PMCID: PMC4401164     PMID: 25901294     Scopus ID: 84924904679    
Review
Anahita Fathi Azarbayjani*, Abolghasem Jouyban
Bioimpacts. 2015;5(1): 29-44. doi: 10.15171/bi.2015.06
PMCID: PMC4401165     PMID: 25901295     Scopus ID: 84924853364    
PDF
XML
Cited By:
Review
Sepideh Zununi Vahed, Mohammadreza Ardalan, Nasser Samadi, Yadollah Omidi* ORCID
Bioimpacts. 2015;5(1): 45-54. doi: 10.15171/bi.2015.12
PMCID: PMC4401167     PMID: 25901296     Scopus ID: 84924854767    
Review
Srinivasan Shanmugam*
Bioimpacts. 2015;5(1): 55-63. doi: 10.15171/bi.2015.04
PMCID: PMC4401168     PMID: 25901297     Scopus ID: 84924905436