|
|
Abolfazl Barzegari, Graciela Pavon-Djavid*
|
Pavan Kumar Bellamakondi*, Ashok Godavarthi, Mohammed Ibrahim
|
Khadijeh Zare, Ali Movafeghi, Sayed Abolghasem Mohammadi, Solmaz Asnaashari, Hossein Nazemiyeh*
|
Hamid Reza Heidari, Mojgan Bandehpour, Hossein Vahidi, Jaleh Barar  , Bahram Kazemi*, Hossein Naderi-Manesh*
|
Mohammad Ali Ghaffari*, Saeed Askari Sede*, Nadereh Rashtchizadeh, Ghorban Mohammadzadeh, Shahla Majidi
|
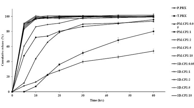
Mohammad Barzegar-jalali, Saeed Ghanbarzadeh, Khosro Adibkia, Hadi Valizadeh, Siamak Bibak, Ghobad Mohammadi, Mohammadreza Siahi-Shadbad*
|
Omid Mashinchian, Mohammad Johari-Ahar, Behnaz Ghaemi, Mohammad Rashidi, Jaleh Barar*  , Yadollah Omidi*
|